BloomFilter
Bloom Filter 概念和原理
焦萌 2007 年 1 月 27 日
Bloom Filter 是一种空间效率很高的随机数据结构,它利用位数组很 简洁地表示一个集合,并能判断一个元素是否属于这个集合。 Bloom Filter 的这种高效是有一定代价的:在判断一个元素是否属于某个集合时,有可能会把不属于这个集合的元素误认为属于这个集合(false positive)。 因此,Bloom Filter 不适合那些 “零错误” 的应用场合。而在能容忍低错误率的应用场合下,Bloom Filter 通过极少的错误换取了存储空间的极大节省。
集合表示和元素查询
下面我们具体来看 Bloom Filter 是如何用位数组表示集合的。初始状态时,Bloom Filter 是一个包含 m 位的位数组,每一位都置为 0。

为了表达 S={x1, x2,…,xn} 这样一个 n 个元素的集合,Bloom Filter 使用 k 个相互独立的哈希函数(Hash Function),它们分别将集合中的每个元素映射到 {1,…,m} 的范围中。对任意一个元素 x,第 i 个哈希函数映射的位置 hi(x) 就会被置为 1(1≤i≤k)。注意,如果一个位置多次被置为 1,那么只有第一次会起作用,后面几次将没有任何效果。在下图中,k=3,且有两个哈希函数选中同一个位置(从左边数第五位)。

在判断 y 是否属于这个集合时,我们对 y 应用 k 次哈希函数,如果所有 hi(y) 的位置都是 1(1≤i≤k),那么我们就认为 y 是集合中的元素,否则就认为 y 不是集合中的元素。下图中 y1 就不是集合中的元素。y2 或者属于这个集合,或者刚好是一个 false positive。

错误率估计
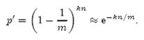
前面我们已经提到了,Bloom Filter 在判断一个元素是否属于它表示的集合时会有一定的错误率(false positive rate),下面我们就来估计错误率的大小。在估计之前为了简化模型,我们假设 kn<m 且各个哈希函数是完全随机的。当集合 S={x1, x2,…,xn} 的所有元素都被 k 个哈希函数映射到 m 位的位数组中时,这个位数组中某一位还是 0 的概率是:

令 p = $e^{-kn/m}$ 是为了简化运算,这里用到了计算 e 时常用的近似(m趋于∞)。
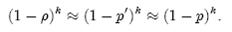
令ρ为位数组中 0 的比例,则ρ的数学期望 E(ρ)= p。在ρ已知的情况下,要求的错误率(false positive rate)为:

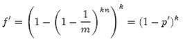
(1-ρ) 为位数组中 1 的比例,$(1-ρ)^k$ 就表示 k 次哈希都刚好选中 1 的区域,即 false positive rate(此处为PR吧)。上式中第二步近似在前面已经提到了,现在来看第一步近似。p’只是ρ的数学期望,在实际中ρ的值有可能偏离它的数学期望值。 M. Mitzenmacher 已经证明 [2] ,位数组中 0 的比例非常集中地分布在它的数学期望值的附近。 因此,第一步的近似得以成立。分别将 p 和 p’代入上式中,得:


相比 p’和 f’,使用 p 和 f 通常在分析中更为方便。
最优的哈希函数个数
既然 Bloom Filter 要靠多个哈希函数将集合映射到位数组中,那么应该选择几个哈希函数才能使元素查询时的错误率降到最低呢?
这里有两个互斥的理由:
- 如果哈希函数的个数多,那么在对一个不属于集合的元素进行查询时得到 0 的概率就大;()
- 如果哈希函数的个数少,那么位数组中的 0 就多。(直观感受:当0多时查到0的概率就高)
为了得到最优的哈希函数个数,我们需要根据上一小节中的错误率公式进行计算。
先用 p 和 f 进行计算。注意到 f = $e^{k ln(1 − e^{−kn/m})}$,我们令 g = $k ln(1 − e^{−kn/m})$,只要让 g 取到最小,f 自然也取到最小。
由于 p = e-kn/m,我们可以将 g 写成

根据对称性法则可以很容易看出当 p = 1/2,也就是 k = ln2· (m/n) 时,g 取得最小值。
在这种情况下,最小错误率 f 等于 $(1/2)^k ≈ (0.6185)^{m/n}$。
另外,注意到 p 是位数组中某一位仍是 0 的概率,所以 p = 1/2 对应着位数组中 0 和 1 各一半。换句话说,要想保持错误率低,最好让位数组有一半还空着。
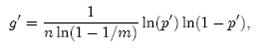
需要强调的一点是,p = 1/2 时错误率最小这个结果并不依赖于近似值 p 和 f。同样对于 $f’ = e^{k ln(1 − (1 − 1/m)^{kn})}$,$g’ = k ln(1 − (1 − 1/m)^{kn})$,$p’ = (1 − 1/m)^{kn}$,我们可以将 g’写成

同样根据对称性法则可以得到当 p’ = 1/2 时,g’取得最小值。
位数组的大小
下面我们来看看,在不超过一定错误率的情况下,Bloom Filter 至少需要多少位才能表示全集中任意 n 个元素的集合。
假设全集中共有 u 个元素,允许的最大错误率为є,下面我们来求位数组的位数 m。假设 X 为全集中任取 n 个元素的集合,F(X) 是表示 X 的位数组。
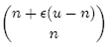
那么对于集合 X 中任意一个元素 x,在 s = F(X) 中查询 x 都能得到肯定的结果,即 s 能够接受 x。显然,由于 Bloom Filter 引入了错误,s 能够接受的不仅仅是 X 中的元素,它还能够接受є (u - n) 个 false positive(FP)。因此,对于一个确定的位数组来说,它能够接受总共 n + є (u - n) 个元素。 在 n + є (u - n) 个元素中,s 真正表示的只有其中 n 个 ,所以一个确定的位数组可以表示 $\complement^n_n+ є (u - n)$

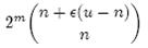
个集合。m 位的位数组共有 2m 个不同的组合,进而可以推出,m 位的位数组可以表示$2^m\complement^n_n+ є (u - n)$

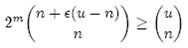
个集合。全集中 n 个元素的集合总共有$\complement^n_u$

个,因此要让 m 位的位数组能够表示所有 n 个元素的集合,必须有$2^m\complement^n_n+ є (u - n)\ge\complement^n_u$

即:

上式中的近似前提是 n 和єu 相比很小,这也是实际情况中常常发生的。
根据上式,我们得出结论:在错误率不大于є的情况下,m 至少要等于 $n log_2^{(1/є)}$ 才能表示任意 n 个元素的集合。
上一小节中我们曾算出当 k = ln2· (m/n) 时错误率 f 最小,这时 f = $(1/2)^k$ = $(1/2)mln2 / n$。现在令 f≤є,可以推出

这个结果比前面我们算得的下界 $n \log_2^{1/є}$ 大了 $log_2^e$ ≈ 1.44 倍。这说明在哈希函数的个数取到最优时,要让错误率不超过є,m 至少需要取到最小值的 1.44 倍。
总结
在计算机科学中,我们常常会碰到时间换空间或者空间换时间的情况,即为了达到某一个方面的最优而牺牲另一个方面。Bloom Filter 在时间空间这两个因素之外又引入了另一个因素:错误率。在使用 Bloom Filter 判断一个元素是否属于某个集合时,会有一定的错误率。也就是说,有可能把不属于这个集合的元素误认为属于这个集合(False Positive),但不会把属于这个集合的元素误认为不属于这个集合(False Negative)。在增加了错误率这个因素之后,Bloom Filter 通过允许少量的错误来节省大量的存储空间。
自从 Burton Bloom 在 70 年代提出 Bloom Filter 之后,Bloom Filter 就被广泛用于拼写检查和数据库系统中。近一二十年,伴随着网络的普及和发展,Bloom Filter 在网络领域获得了新生,各种 Bloom Filter 变种和新的应用不断出现。可以预见,随着网络应用的不断深入,新的变种和应用将会继续出现,Bloom Filter 必将获得更大的发展。
参考资料
[1] A. Broder and M. Mitzenmacher. Network applications of bloom filters: A survey. Internet Mathematics, 1(4):485–509, 2005.
[2] M. Mitzenmacher. Compressed Bloom Filters. IEEE/ACM Transactions on Networking 10:5 (2002), 604—612.
[3] www.cs.jhu.edu/~fabian/courses/CS600.624/slides/bloomslides.pdf
[4] http://166.111.248.20/seminar/2006_11_23/hash_2_yaxuan.ppt
简单实现(Java)
1 | import java.util.BitSet; |
简单实现(Python)
1 | from random import randint |